Si no gestionas a tiempo, este año puedes perder una cuarta parte de tus ganancias.
No es para asustarte, pero las Finanzas y los negocios son así, hay que actuar frente a los cambios que se producen en el mercado.
Ok, vamos a lo concreto.
Este año tu negocio se verá expuesto al aumentos de sus costos (y no por inflación), lo que reducirá tus ganancias. No será por una mala jugada, si no por ley, así es, por leyes que te obligarán a incurrir en más gastos para tu negocio.
1.- Aumento del sueldo mínimo
Partimos el 2026 con el aumento del sueldo, el cual subió de $529.000 a $539.000.
Muchos dirán “Son solo $10.000”, pero no.
Cuando sube el sueldo imponible, también sube la gratificación legal, que corresponde al 25% de los haberes imponibles, con tope de 4 sueldos mínimos (Luego esos 4 sueldos mínimos se dividen en 12 meses para generar el tope mensual).
Con el nuevo mínimo, el impacto real para empresas que paguen el sueldo mínimo como sueldo base es este:
- Aumento directo del sueldo: $10.000
- Aumento por gratificación: $2.500
- Aumento real mensual: $12.500 por trabajador
Eso significa que, para una PYME que paga solo sueldo mínimo, el costo de sueldos sube un 1,89%.
Y ojo con esto, este ajuste afecta a todas las empresas que tengan sueldos imponibles bajo $718.667 (tope de los 4 sueldos mínimos de la gratificación legal).
Antes el umbral era $705.333. Hoy más trabajadores quedaron atrapados en este rango.
2.- Aumento de +1% de cotización adicional con cargo al empleador
A lo anterior se suma un costo silencioso, pero estructural, +1% de cotización adicional de cargo del empleador (partió desde agosto de 2025). Este punto es clave desde la gestión financiera, ya que afecta a todas las empresas que tengan trabajadores contratados, paguen más del sueldo mínimo o tengas trabajadores part-time.
Es un costo puro, que resta margen directamente.
3.- Ley de 40 Horas, implementación de segunda etapa. Menos horas de trabajo, mismo sueldo.
Este año, precisamente en abril, comienza una nueva etapa de la Ley de 40 horas, pasamos de 44 a 42 horas semanales. Traducido a números para tu gestión Financiera:
- Son 8 horas menos al mes.
- Prácticamente un día completo menos de trabajo.
- Si transformamos a costos esas 8 horas menos de trabajo, implica un 4,8% de costos adicional.
En empresas intensivas en mano de obra, este efecto es durísimo en sus márgenes.
Hasta aquí, el error más común que veo..
La mayoría de los dueños de negocio mira estos cambios como montos aislados.
Ese es el error.
El análisis correcto no es Cuánto subió el sueldo, el análisis correcto es:
“¿Qué porcentaje de mis ventas se va en sueldos?”, Ese porcentaje es parte de la arquitectura de costos del negocio. Y cuando esa arquitectura se encarece “por ley”, el margen de ganancias disminuye, ganas menos ( o no ganas nada si además tienes mal fijado tus precios).
Margen de Contribución: El Primer Paso para que tu Empresa sea Rentable
Pongámoslo en números con un caso base…
Para hacer este análisis, tomamos un escenario base, simple y replicable:
- Ventas mensuales: 200 UF (≈ $7.949.800, nivel de ventas mensual mínimo para calificar como pyme, ya que si vendes menos, eres una microempresa)
- Utilidad promedio: 15% (las utilidades de las pymes se mueve entre 5% a 18% aprox, más utilidades se da en negocios de servicios muy bien gestionados)
- Consideramos que la empresa solo paga el sueldo mínimo, lo cual genera tres impactos considerados:
- +1,89% por aumento real del sueldo mínimo
- +1% por cotización adicional del empleador
- +4,8% por menor jornada efectiva
Y ahora viene lo importante:
¿Cuánto aumentarían tus costos y disminuirían tus Ganancias según cuánto pesan los sueldos en tus ventas?
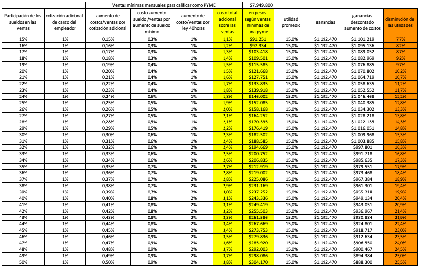
📌 Caso 1: sueldos ponderan un 20% de las ventas
(típico en comercio, talleres y maestranzas, constructoras)
- Aumento total de costos: 1,5% de las ventas
- Costo adicional mensual: $121.668
- Utilidad original: $1.192.470
- Nueva utilidad: $1.070.802
****La utilidad cae un -10,2%.****
📌 Caso 2: sueldos ponderan un 30% de las ventas
(restaurantes, servicios operativos)
- Aumento total de costos: 2,3% de las ventas
- Costo adicional mensual: $182.502
- Nueva utilidad: $1.009.968
****La utilidad cae un 15,3%. *****
📌 Caso 3: sueldos ponderan un 50% de las ventas
(servicios intensivos en personal)
- Aumento total de costos: 3,8% de las ventas
- Costo adicional mensual: $304.170
- Nueva utilidad: $888.300
***La utilidad cae un 25,5%.* * *
Aquí te dejo una tabla con el análisis bajo distintas relaciones de Sueldo/ventas:
.
Los ejemplos y cálculos presentados están basados en un caso concreto y básico, el cual intenta recrear el impacto en los costos y ganancias de un negocio. Para cada empresa estos cálculos deben ser precisados según su nivel de ventas, el nivel de sueldos que paguen (en cuánto a la ponderación de las ventas y por cargo), necesidades operativas (si es que además necesitan horas extras o nuevos turnos) y por sobre todo, la ponderación de este costos sobre las ventas.
En definitiva, esto no es un problema laboral, no es un problema político, es un problema financiero.
Cuando tus márgenes de ganancia reales están entre 5% y 15%, una caída del 10%, 15% o 25% de la utilidad no es marginal, Es estructural.
Lo que deberías estar haciendo hoy
Aclaremos algo antes de seguir: Esto no es un problema laboral, no es político, y tampoco se arregla esperando al próximo gobierno.
Esto es un problema de rentabilidad.
Cuando tus márgenes reales están entre 5% y 15%, una caída del 10%, 15% o 25% de la utilidad no es un ajuste menor, es un cambio estructural en tu negocio.
Si no haces nada, la pérdida no es culpa de la ley. Es gestión.
Entonces, menos llanto y comienza a realizar el siguiente análisis para tu negocio:
1.- Define tus metas para este año: Todo se subordina a esto, debes definir qué quieres lograr este año para comenzar a planificar (quieres crecer un 20%, 30%?, quieres aumentar tu rentabilidad?, mejorar tu conversión, comprar una propiedad, renovar equipos y maquinaría, implementar nueva tecnología?
2.- Necesidades Operativas: contarás con 42 horas de trabajo semanal, por lo que deberás acomodar esas 2 horas menos. Pero también en función de tus metas debes definir tu forma de trabajar. Entonces, debes estimar tus necesidades operativas y reconfigurar tu jornada de trabajo y atención.
3.- Análisis de costos: Luego de revisar tus demás costos, debemos pasar a lo contingente con especial acento, el aumento de tus costos en sueldos. Ya tienes claro a estas alturas tus necesidades operativas, los horarios de tus turnos, por lo que debemos costear tu nueva estructura de costos laborales.
4.- Implementación legal: lo que no está escrito y firmado, no vale (eso debes pensar como empleador). Debes materializar los cambios que realices en temas laborales con anexos de contratos, fijando de mutuo acuerdo los puntos que sufrirán cambios en beneficio del negocio bajo las nuevas reglas. También es una buena oportunidad de revisar tu reglamento interno.
5.- Revisión de precios: La base de toda fijación de precios, es conocer los costos exactos de tu negocio. Estos evidentemente aumentarán, por lo que debes replantear tus precios y tu estrategia de precios.
Umbral de Venta Adicional (UVA): el número que debes calcular antes de bajar o subir un precio
6.- Plan Financiero: Ahora debemos bajar todo números, proyectando mes a mes (porque las cuentas se pagan mes a mes) nuestros ingresos y egresos y modelando escenarios que podrían enfrentar en el año
7.- Control: revisa periódicamente, idealmente de forma mensual, tus proyecciones vs los resultados reales y aplica ajustes si es necesario.
Estás a tiempo.
Tu competencia enfrenta exactamente el mismo escenario, la diferencia no estará en la ley, estará en quién entiende antes el impacto y actúa mejor.
Si no sabes cómo hacer este análisis, o quieres ver cómo se ve esto aplicado a tu negocio real, eso es justamente lo que hacemos todos los días, y no, no es para asustarte, es para que no te pille el año mirando el resultado cuando ya es tarde.

Completa el formulario y Descarga Gratis tu Planilla Excel para Calcular el PUNTO DE EQUILIBRIO de tu negocio y aumentes tus ganancias 





